Soal No. 1
Tentukan hasil dari:

Tentukan hasil dari:
Pembahasan
Limit bentuk
diperoleh
Soal No. 2

Pembahasan
Limit aljabar bentuk

Substitusikan saja nilai x,

Pembahasan
Limit aljabar bentuk
Substitusikan saja nilai x,
Berikutnya dilanjutkan dengan tipe metode turunan yaitu limit x menuju angka tertentu dimana jika disubstitusikan langsung mendapatkan hasil yang tak tentu.
Soal No. 3
Tentukan nilai dari | |
Pembahasan
Jika angka 2 kita substitusikan ke x, maka akan diperoleh hasil 0/0 (termasuk bentuk tak tentu), sehingga selesaikan dengan metode turunan saja.
Soal No. 4
Tentukan nilai dari |
Pembahasan
Masih menggunakan turunan
Soal No. 5
Nilai |
A. −1/4
B. −1/2
C. 1
D. 2
E. 4
(Soal Limit Fungsi Aljabar UN 2012)
Pembahasan
Bentuk 0/0 juga, ubah bentuk akarnya ke bentuk pangkat agar lebih mudah diturunkan seperti ini
Turunkan atas - bawah, kemudian masukkan angka 3 nya
Soal No. 6
Nilai dari

A. 16
B. 8
C. 4
D. -4
E. -8
(Matematika IPS 013)
Pembahasan
Bentuk 0/0 juga, dengan turunan:

Nilai dari
A. 16
B. 8
C. 4
D. -4
E. -8
(Matematika IPS 013)
Pembahasan
Bentuk 0/0 juga, dengan turunan:
atau dengan cara pemfaktoran:
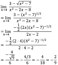
Soal No. 7
Nilai

A. − 2/9
B. −1/8
C. −2/3
D. 1
E. 2
un matematika 2007
Pembahasan
Dengan substitusi langsung akan diperoleh bentuk 0/0.
Cara Pertama
Nilai
A. − 2/9
B. −1/8
C. −2/3
D. 1
E. 2
un matematika 2007
Pembahasan
Dengan substitusi langsung akan diperoleh bentuk 0/0.
Cara Pertama
Perkalian dengan sekawan dan pemfaktoran:

Cara Kedua
Cara Kedua
dengan turunan:

Catatan
Cara menurunkan

Ubah dulu bentuk akar jadi bentuk pangkat, kl akar pangkat dua itu sama saja dengan pangkat setengah, jadinya
Cara menurunkan
Ubah dulu bentuk akar jadi bentuk pangkat, kl akar pangkat dua itu sama saja dengan pangkat setengah, jadinya
Turunan dari 3 adalah nol, ga usah ditulis, lanjut turunan dari
dicari pakai turunan berantai namanya, prakteknya begini:
Pangkatnya taruh depan, terus pangkatnya dikurangi satu, terus dikali dengan turunan dari fungsi yang ada dalam kurung. x2 – 7 kalo diturunkan jadinya 2x – 0 atau 2x saja. Jadinya:

Pangkatnya taruh depan, terus pangkatnya dikurangi satu, terus dikali dengan turunan dari fungsi yang ada dalam kurung. x2 – 7 kalo diturunkan jadinya 2x – 0 atau 2x saja. Jadinya:
Contoh berikutnya limit x menuju tak berhingga dalam bentuk f(x)/g(x). Kesimpulan berikut digunakan pada tiga nomor berikutnya:

Soal No. 8
Soal No. 8
Tentukan nilai dari |
Pembahasan
Limit x menuju ∞ dengan pangkat tertinggi yang sama, m = n
Soal No. 9
Tentukan nilai dari |
Pembahasan
Limit x menuju ∞ dengan pangkat tertinggi dari pembilang lebih tinggi dari penyebutnya, m > n
Soal No. 10
Tentukan nilai dari |
Pembahasan
Limit x menuju ∞ dengan pangkat tertinggi dari pembilang lebih rendah dari penyebutnya, m < n
Contoh berikutnya tipe soal limit → ∞ yang berbentuk "Selisih Akar Kuadrat".
Ini rumus yang nanti digunakan:
Kita terapkan pada soal berikut
Soal No. 11
Nilai dari | adalah... |
A. 3/4
B. 4/5
C. 6/5
D. 5/4
E. 4/3
(Ebtanas 1992)
Pembahasan
Limit bentuk selisih akar kuadrat dimana
a = p
dengan b = 3 dan q = −5 sehingga tengok rumus di atas
Soal No. 12
Nilai dari | adalah... |
A. − 39/10
B. − 9/10
C. −21/10
D. 39/10
E. ∞
Pembahasan
Langkah pertama ubah ke bentuk selisih akar seperti soal sebelumnya.

Soal No. 13
B. − 9/10
C. −21/10
D. 39/10
E. ∞
Pembahasan
Langkah pertama ubah ke bentuk selisih akar seperti soal sebelumnya.
Soal No. 13
Nilai dari | adalah... |
A. ∞
B. 8
C. 5/4
D. 1/2
E. 0
Pembahasan
Ubah ke bentuk selisih akar seperti ini:

Soal No. 14
B. 8
C. 5/4
D. 1/2
E. 0
Pembahasan
Ubah ke bentuk selisih akar seperti ini:
Soal No. 14
Nilai dari | adalah... |
Pembahasan
Ubah ke bentuk selisih akar seperti soal sebelumnya.
Soal No. 15
Nilai dari |
Pembahasan
Soal limit aljabar dengan bentuk selisih akar gunakan ketentuan berikut:
Limit selisih akar dengan a = c, sehingga hasilnya = 0
Soal No. 16
Nilai dari |
Pembahasan
Limit selisih akar dengan a > c, sehingga hasilnya = ∞
Model berikutnya:
Soal No. 17
Nilai dari l

A. 0
B. 1/3 √3
C. √3
D. 2√3
E. ∞
un ipa sma 2013
Pembahasan
Modifikasikan hingga jika disubstitusikan tidak menjadi bentuk tak tentu, 2x jika diubah bentuk akar akan menjadi √4x2:

Substitusi x dengan ∞ ingat bilangan dibagi tak hingga hasilnya (mendekati) NOL.

Nilai dari l
A. 0
B. 1/3 √3
C. √3
D. 2√3
E. ∞
un ipa sma 2013
Pembahasan
Modifikasikan hingga jika disubstitusikan tidak menjadi bentuk tak tentu, 2x jika diubah bentuk akar akan menjadi √4x2:
Substitusi x dengan ∞ ingat bilangan dibagi tak hingga hasilnya (mendekati) NOL.
Read more: http://matematikastudycenter.com/kelas-11-sma/121-limit-fungsi-aljabar#ixzz3ihm69Shk
0 comments:
Post a Comment
Silakan Komentar dengan Bijak dan Santun